你好,欢迎来到中华试剂网 购试剂 买耗材! [请登录][注册有惊喜]

货号快速下单 | 签到送积分   | 会员中心 | 客服热线:400-021-2765

水杨酰肼的合成路线有哪些?

提问时间:2021/4/22 10:11:52
水杨酰肼有什么方法可以合成?

1条回复:

匿名
2021/4/22 10:11:52
基本信息:
中文名称 水杨酰肼
中文别名 2-羟基苯甲酰肼;杨基酰肼;
英文名称 Salicylhydrazide
英文别名 2-hydroxybenzohydrazide;
CAS号 936-02-7

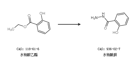
合成路线:
1.通过水杨酸乙酯合成水杨酰肼


2.通过柳酸甲酯合成水杨酰肼,收率约98%;


合成路线仅供参考
回复