基本信息:
中文名称 7-二乙氨基-4-甲基香豆素
中文别名 荧光增白剂61;4-甲基-7-二乙氨基香豆素;7-二乙氨基-4-甲基-2H-1-苯并吡喃-2-酮;荧光增白剂 52;香豆素 1;4-甲基-7-N,N-二乙氨基香豆素;荧光增白剂 140;香豆素460;荧光增白剂 WS;二乙氨基甲基香豆素;香豆素1;
英文名称 coumarin 460
英文别名 7-Diethylamino-4-methylcoumarin;7d4mc;COUMARIN I;UVITEX WGS;COUMARIN 1;aclarat8678;Coumarin 460;7-NEt2-4-CH3-coumarin;hakkolp;c47;Coumalux;
CAS号 91-44-1
合成路线:
1.通过乙酰乙酸乙酯和3-羟基-N,N-二乙基苯胺合成7-二乙氨基-4-甲基香豆素

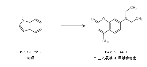
2.通过吲哚合成7-二乙氨基-4-甲基香豆素

合成路线仅供参考