基本信息:
中文名称 4-氯邻苯二酸
中文别名 4-氯邻苯二甲酸;对氯酞酸;
英文名称 4-Chlorophthalic acid
英文别名 4-Chlorophthalicacid;Phthalic acid,4-chloro;4-chloro-1,2-benzenedicarboxylic acid;1,2-Benzenedicarboxylic acid,4-chloro;4-chlorophthalic aid;4-Chlor-phthalsaeure;4-chloranylphthalic acid;5-chlorophthalic acid;
CAS号 89-20-3
合成路线:
1.通过4,5-二氯邻苯二甲酸酐合成4-氯邻苯二酸,收率约97%;

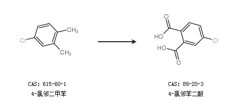
2.通过4-氯邻二甲苯合成4-氯邻苯二酸

合成路线仅供参考