基本信息:
中文名称 3-羟基-2-吡啶甲酸
中文别名 3-羟基吡啶-2-羧酸;3-羟基-2-吡啶羧酸;
英文名称 3-hydroxypicolinic acid
英文别名 hydroxypicolinic acid;3-Hydroxy-2-Pyridinecarboxylic;RARECHEM AL BO 0972;3-hydroxy-2-pyridinecarboxylic acid;3-hydroxy-picolinic acid;3-Hydroxy-2-carboxypyridine;3-Hydroxypicolinic acid;2-Carboxy-3-hydroxypyridine;3-hydroxy-pyridine-2-carboxylic acid;
CAS号 874-24-8
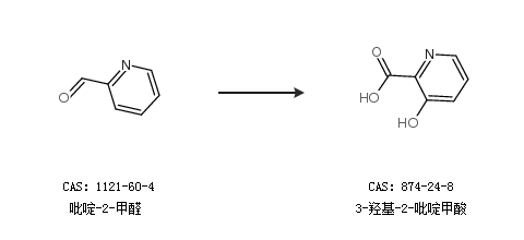
合成路线:
1.通过3-氨基吡啶-2-甲酸乙酯合成3-羟基-2-吡啶甲酸

2.通过吡啶-2-甲醛合成3-羟基-2-吡啶甲酸

合成路线仅供参考