你好,欢迎来到中华试剂网 购试剂 买耗材! [请登录][注册有惊喜]

货号快速下单 | 签到送积分   | 会员中心 | 客服热线:400-021-2765

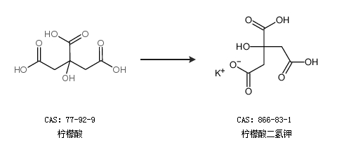
柠檬酸二氢钾的合成路线有哪些?

提问时间:2021/4/22 10:11:51
柠檬酸二氢钾有什么方法可以合成?

1条回复:

匿名
2021/4/22 10:11:51
基本信息:
中文名称 柠檬酸二氢钾
中文别名 柠檬酸一钾;
英文名称 Potassium Dihydrogen Citrate
英文别名 POTASSIUM DIHYDROGEN CITRATE;
CAS号 866-83-1

合成路线:
1.通过柠檬酸合成柠檬酸二氢钾


2.通过柠檬酸合成柠檬酸二氢钾


合成路线仅供参考
回复