你好,欢迎来到中华试剂网 购试剂 买耗材! [请登录][注册有惊喜]

货号快速下单 | 签到送积分   | 会员中心 | 客服热线:400-021-2765

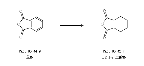
1,2-环己二酸酐的合成路线有哪些?

提问时间:2021/4/22 10:11:51
1,2-环己二酸酐有什么方法可以合成?

1条回复:

匿名
2021/4/22 10:11:51
基本信息:
中文名称 1,2-环己二酸酐
中文别名 六氢苯酐;六氢邻苯二甲酸酐;六氢化邻苯二甲酸酐;1,2-环己二甲酸酐;
英文名称 hexahydrophthalic anhydride
英文别名 Hexahydrophthalic anhydride;1,2-Cyclohexanedicarboxylic Anhydride;
CAS号 85-42-7

合成路线:
1.通过苯酐合成1,2-环己二酸酐


2.通过3,4,5,6-四氢苯酐合成1,2-环己二酸酐,收率约88%;


合成路线仅供参考
回复