基本信息:
中文名称 酮基保太松
中文别名 凯保松;
英文名称 kebuzone
英文别名 Copirene;Ketophenylbutazon;Chetazolidin;cetophenylbutazone;Chebutan;Ketazone;Recheton;ketophenylbutazone;Chepirol;Ketason;Ketazon;KEBUZONE;4-(3-oxobutyl)-1,2-diphenylpyrazolidine-3,5-dione;
CAS号 853-34-9
合成路线:
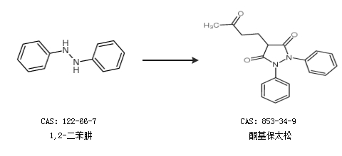
1.通过1,2-二苯肼合成酮基保太松

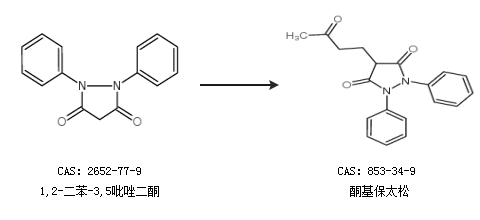
2.通过1,2-二苯-3,5吡唑二酮合成酮基保太松

合成路线仅供参考