你好,欢迎来到中华试剂网 购试剂 买耗材! [请登录][注册有惊喜]

货号快速下单 | 签到送积分   | 会员中心 | 客服热线:400-021-2765

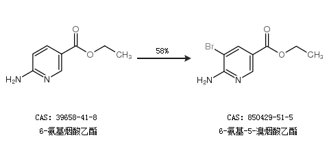
6-氨基-5-溴烟酸乙酯的合成路线有哪些?

提问时间:2021/4/22 10:11:51
6-氨基-5-溴烟酸乙酯有什么方法可以合成?

1条回复:

匿名
2021/4/22 10:11:51
基本信息:
中文名称 6-氨基-5-溴烟酸乙酯
英文名称 Ethyl 6-amino-5-bromonicotinate
英文别名 ethyl 6-amino-5-bromopyridine-3-carboxylate;
CAS号 850429-51-5

合成路线:
1.通过6-氨基烟酸乙酯合成6-氨基-5-溴烟酸乙酯,收率约58%;


合成路线仅供参考
回复