基本信息:
中文名称 宝丹酮
中文别名 甲醇中勃地龙;1,4-雄甾二烯-17Β-醇-3-酮;17Β-羟基-1,4-雄甾二烯-3-酮;1-脱氢睾酮;
英文名称 boldenone
英文别名 Boldenoe;BOLDENON;1,2-didehydrotestosterone;BOLDENONE UNDECILINATE;Boldenone;dehydrotestosterone;1-DEHYDROTESTOSTERONE;Cuproterone Acetate;
CAS号 846-48-0
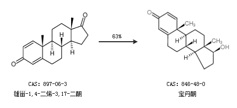
合成路线:
1.通过睾酮合成宝丹酮,收率约72%;

2.通过雄甾-1,4-二烯-3,17-二酮合成宝丹酮,收率约63%;

合成路线仅供参考