你好,欢迎来到中华试剂网 购试剂 买耗材! [请登录][注册有惊喜]

货号快速下单 | 签到送积分   | 会员中心 | 客服热线:400-021-2765

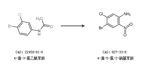
4-溴-5-氯-2-硝基苯胺的合成路线有哪些?

提问时间:2021/4/22 10:11:50
4-溴-5-氯-2-硝基苯胺有什么方法可以合成?

1条回复:

匿名
2021/4/22 10:11:50
基本信息:
中文名称 4-溴-5-氯-2-硝基苯胺
英文名称 4-Bromo-5-chloro-2-nitroaniline
英文别名 4-bromo-5-chloro-2-nitroaniline;
CAS号 827-33-8

合成路线:
1.通过2-硝基-5-氯苯胺合成4-溴-5-氯-2-硝基苯胺,收率约77%;


2.通过4-溴-3-氯乙酰苯胺合成4-溴-5-氯-2-硝基苯胺


合成路线仅供参考
回复