基本信息:
中文名称 1,4,5,8-四氯蒽醌
英文名称 1,4,5,8-tetrachloroanthracene-9,10-dione
英文别名 1,4,5,8-tetrachloro-anthraquinone;1,4,5,8-Tetrachloranthrachinon;9,1,4,5,8-tetrachloro;1,5,8-Tetrachloroanthraquinone;1,4,5,8-tetrachloroanthracene;
CAS号 81-58-3
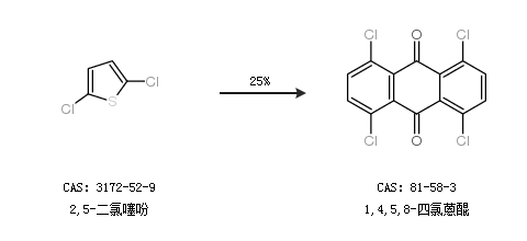
合成路线:
1.通过2,5-二氯噻吩合成1,4,5,8-四氯蒽醌,收率约25%;

2.通过蒽醌合成1,4,5,8-四氯蒽醌

合成路线仅供参考