你好,欢迎来到中华试剂网 购试剂 买耗材! [请登录][注册有惊喜]

货号快速下单 | 签到送积分   | 会员中心 | 客服热线:400-021-2765

磷酸三邻甲苯酯的合成路线有哪些?

提问时间:2021/4/22 10:11:50
磷酸三邻甲苯酯有什么方法可以合成?

1条回复:

匿名
2021/4/22 10:11:50
基本信息:
中文名称 磷酸三邻甲苯酯
中文别名 磷酸三甲苯(酚)酯;邻磷酸三甲酚酯;磷酸三(2-甲苯)酯;磷酸邻三甲酚酯;
英文名称 Tri-o-tolyl phosphate
英文别名 tris(2-methylphenyl) phosphate;
CAS号 78-30-8

合成路线:
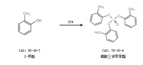
1.通过2-甲酚合成磷酸三邻甲苯酯,收率约88%;


2.通过2-甲酚合成磷酸三邻甲苯酯,收率约32%;


合成路线仅供参考
回复