你好,欢迎来到中华试剂网 购试剂 买耗材! [请登录][注册有惊喜]

货号快速下单 | 签到送积分   | 会员中心 | 客服热线:400-021-2765

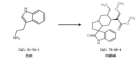
钩藤碱的合成路线有哪些?

提问时间:2021/4/22 10:11:49
钩藤碱有什么方法可以合成?

1条回复:

匿名
2021/4/22 10:11:49
基本信息:
中文名称 钩藤碱
中文别名 二缩双(三羟基甲酸);
英文名称 Rhynchophylline
英文别名 rhyncophylline;RHYNCHOLPHYLLINE;mitrinermin;rhynchophyllin;MITRINERMINE;
CAS号 76-66-4

合成路线:
1.通过柯诺辛因碱合成钩藤碱,收率约97%;


2.通过色胺合成钩藤碱


合成路线仅供参考
回复