基本信息:
中文名称 氟甲睾酮
中文别名 氟羟甲基睾酮; 氟羟甲基睾丸素; 龙坦特伦
英文名称 Fluoxymesterone
英文别名 Halotestin;(8S,9R,10S,11S,13S,14S,17S)-9-fluoro-11,17-dihydroxy-10,13,17-trimethyl-1,2,6,7,8,11,12,14,15,16-decahydrocyclopenta[a]phenanthren-3-one
CAS号 76-43-7
合成路线:
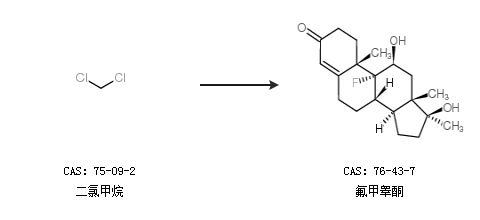
1.通过二氯甲烷合成氟甲睾酮

合成路线仅供参考