你好,欢迎来到中华试剂网 购试剂 买耗材! [请登录][注册有惊喜]

货号快速下单 | 签到送积分   | 会员中心 | 客服热线:400-021-2765

1,4-苯二丙烯酸二甲酯的合成路线有哪些?

提问时间:2021/4/22 10:11:49
1,4-苯二丙烯酸二甲酯有什么方法可以合成?

1条回复:

匿名
2021/4/22 10:11:49
基本信息:
中文名称 1,4-苯二丙烯酸二甲酯
中文别名 1,4-亚苯基二丙烯酸二甲酯;
英文名称 Dimethyl 1,4-Phenylenediacrylate
英文别名 methyl 3-[4-(3-methoxy-3-oxoprop-1-enyl)phenyl]prop-2-enoate;
CAS号 7549-44-2

合成路线:
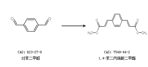
1.通过对苯二甲醛合成1,4-苯二丙烯酸二甲酯


2.通过对苯二丙烯酸合成1,4-苯二丙烯酸二甲酯


合成路线仅供参考
回复