你好,欢迎来到中华试剂网 购试剂 买耗材! [请登录][注册有惊喜]

货号快速下单 | 签到送积分   | 会员中心 | 客服热线:400-021-2765

1,3,5-三(4-溴苯基)苯的合成路线有哪些?

提问时间:2021/4/22 10:11:49
1,3,5-三(4-溴苯基)苯有什么方法可以合成?

1条回复:

匿名
2021/4/22 10:11:49
基本信息:
中文名称 1,3,5-三(4-溴苯基)苯
中文别名 1,3,5-三-(4-溴苯基)-苯;1,3,5-三对溴苯基苯;
英文名称 1,3,5-Tris(4-bromophenyl)benzene
英文别名 1,3,5-tris(4-bromophenyl)benzene;
CAS号 7511-49-1

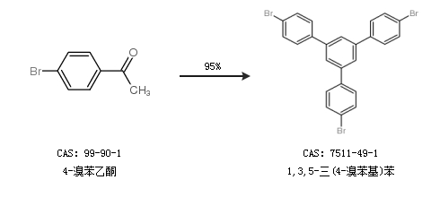
合成路线:
1.通过4-溴苯乙酮合成1,3,5-三(4-溴苯基)苯,收率约95%;


2.通过(4-溴苯基)乙炔合成1,3,5-三(4-溴苯基)苯,收率约50%;


合成路线仅供参考
回复