基本信息:
中文名称 甲基双酮
中文别名 甲基固烯双酮;雌二醇杂质;19-去甲雄烯二酮;雌甾-4-烯-3,17-二酮;19-去甲-4-雄烯二酮;19-去甲雄甾-4-烯-3,17-二酮;
英文名称 Norandrostenedione
英文别名 19-nor-4-androstenedione;4-ESTREN-3,17-DIONE;dl-19-norandrost-4-ene-3,17-dione;4-ESTRENE-3,17-DIONE;19-NORANDROSTENDIONE;19-nor-4-androstene-3;Estr-4-ene-3,17-dione;19-NORANDROSTENEDIONE;19-nor-androst-4-ene-3,17-dione;Nor-4-Androstenedione;19-nor-4-androstene-3,17-dione;19-Norandrost-4-ene-3,17-dione;
CAS号 734-32-7
合成路线:
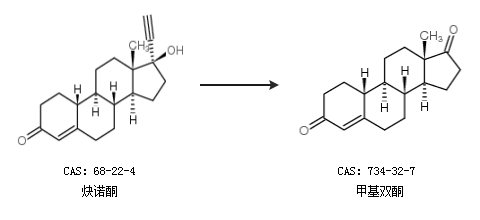
1.通过炔诺酮合成甲基双酮

2.通过炔诺酮合成甲基双酮

合成路线仅供参考