基本信息:
中文名称 吡咯喹啉醌
中文别名 4,5-二氢-4,5-二氧代-1H-吡咯并[2,3-F]喹啉-2,7,9-三羧酸;
英文名称 pyrroloquinoline quinone
英文别名 4,5-dioxo-1H-pyrrolo[2,3-f]quinoline-2,7,9-tricarboxylic acid;methoxatin;2,7,9-Tricarboxy-1H-pyrrolo(2,3-f)quinoline-4,5-dione;PQQ;methoxanthin;4,5-dioxo-4,5-dihydro-1H-pyrrolo[2,3-f]quinoline-2,7,9-tricarboxylic acid;Pyrroloquinoline-quinone;4,5-dihydro-4,5-dioxo-1H-pyrrolo-[2,3-f]quinoline-2,7,9-tricarboxylic acid;Coenzyme pqq;
CAS号 72909-34-3
合成路线:
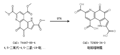
1.通过4,5-二氧代-4,5-二氢-1H-吡咯[2,3-f]喹啉-2,7,9-三羧酸三甲酯合成吡咯喹啉醌,收率约97%;

2.通过5-羟基吲哚-2-甲酸乙酯合成吡咯喹啉醌

合成路线仅供参考