你好,欢迎来到中华试剂网 购试剂 买耗材! [请登录][注册有惊喜]

货号快速下单 | 签到送积分   | 会员中心 | 客服热线:400-021-2765

曙红双乙酸酯的合成路线有哪些?

提问时间:2021/4/22 10:11:49
曙红双乙酸酯有什么方法可以合成?

1条回复:

匿名
2021/4/22 10:11:49
基本信息:
中文名称 曙红双乙酸酯
英文名称 Eosin diacetate
英文别名 (6''-acetyloxy-2'',4'',5'',7''-tetrabromo-3-oxospiro[2-benzofuran-1,9''-xanthene]-3''-yl) acetate;
CAS号 7284-92-6

合成路线:
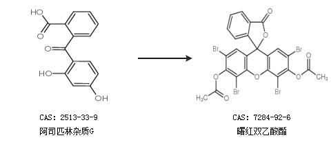
1.通过阿司匹林杂质G合成曙红双乙酸酯


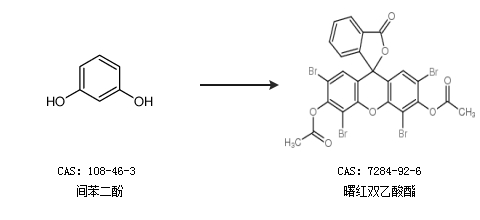
2.通过间苯二酚合成曙红双乙酸酯


合成路线仅供参考
回复