基本信息:
中文名称 FMOC-O-叔丁基-L-丝氨酸
中文别名 N-[(9H-芴-9-基甲氧基)羰基]-O-叔丁基-L-丝氨酸;Fmoc-O-叔丁基-L-丝氨酸;O-叔丁基-N-Fmoc-L-丝氨酸;O-叔丁基-N-[(9H-芴-9-基甲氧基)羰基]-L-丝氨酸;芴甲氧羰基-O-叔丁基-L–丝氨酸;N-(9-芴甲氧羰酰基)-O-叔丁基-L-丝氨酸;
英文名称 FMOC-O-tert-Butyl-L-serine
英文别名 (2S)-2-(9H-fluoren-9-ylmethoxycarbonylamino)-3-[(2-methylpropan-2-yl)oxy]propanoic acid;
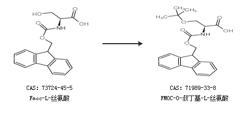
CAS号 71989-33-8
合成路线:
1.通过O-叔丁基-L-丝氨酸和(9H-芴-9-基)甲基 2,5-二氧代吡咯烷-1-羧酸合成FMOC-O-叔丁基-L-丝氨酸,收率约75%;

2.通过Fmoc-L-丝氨酸合成FMOC-O-叔丁基-L-丝氨酸

合成路线仅供参考