基本信息:
中文名称 颜料黄193
英文名称 1-N,4-N-bis(9,10-dioxoanthracen-1-yl)benzene-1,4-dicarboxamide
英文别名 N.N''-Di-(anthrachinonyl-(1))-terephthalamid;N,N''-bis(9,10-dihydro-9,10-dioxo-1-anthryl)terephthaldiamide;N,N''-bis-(9,10-dioxo-9,10-dihydro-[1]anthryl)-terephthalamide;Caledon yellow 5GK;HMS617B16;EINECS 274-554-9;
CAS号 70321-14-1
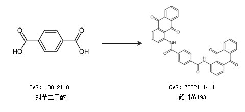
合成路线:
1.通过对苯二甲酸合成颜料黄193

合成路线仅供参考