你好,欢迎来到中华试剂网 购试剂 买耗材! [请登录][注册有惊喜]

货号快速下单 | 签到送积分   | 会员中心 | 客服热线:400-021-2765

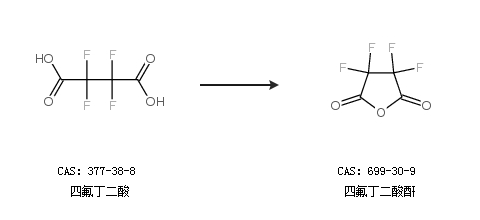
四氟丁二酸酐的合成路线有哪些?

提问时间:2021/4/22 10:11:48
四氟丁二酸酐有什么方法可以合成?

1条回复:

匿名
2021/4/22 10:11:48
基本信息:
中文名称 四氟丁二酸酐
中文别名 全氟琥珀酸酐;四氟琥珀酸酐;
英文名称 Tetrafluorosuccinic Anhydride
英文别名 3,3,4,4-tetrafluorooxolane-2,5-dione;
CAS号 699-30-9

合成路线:
1.通过四氟丁二酸和氯羰基亚磺酰氯合成四氟丁二酸酐


2.通过四氟丁二酸合成四氟丁二酸酐


合成路线仅供参考
回复