基本信息:
中文名称 三氧代庚二酸二乙酯
中文别名 2,4,6-三氧代庚二酸二乙酯;
英文名称 diethyl 2,4,6-trioxoheptanedioate
英文别名 2,4,6-trioxo-heptanedioic acid diethyl ester;diethylacetonedioxalate;T.P.E.;diethoxalylacetone;2,4,6-Trioxo-heptandisaeure-diaethylester;diethyl 2,4,6-trioxoheptanedicarboxylate;UNII-0V98KE489V;
CAS号 68854-18-2
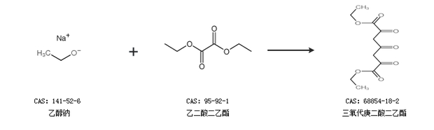
合成路线:
1.通过乙二酸二乙酯和丙酮合成三氧代庚二酸二乙酯,收率约98%;

2.通过乙醇钠和乙二酸二乙酯合成三氧代庚二酸二乙酯

合成路线仅供参考