你好,欢迎来到中华试剂网 购试剂 买耗材! [请登录][注册有惊喜]

货号快速下单 | 签到送积分   | 会员中心 | 客服热线:400-021-2765

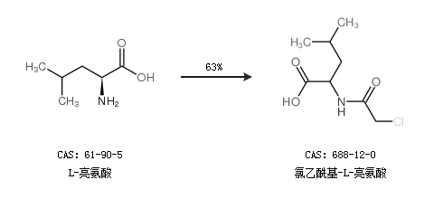
氯乙酰基-L-亮氨酸的合成路线有哪些?

提问时间:2021/4/22 10:11:48
氯乙酰基-L-亮氨酸有什么方法可以合成?

1条回复:

匿名
2021/4/22 10:11:48
基本信息:
中文名称 氯乙酰基-L-亮氨酸
中文别名 N-氯乙酰-L-亮氨酸;氯乙酰-L-亮氨酸;
英文名称 N-Chloroacetyl-L-leucine
英文别名 2-[(2-chloroacetyl)amino]-4-methylpentanoic acid;
CAS号 688-12-0

合成路线:
1.通过L-亮氨酸合成氯乙酰基-L-亮氨酸,收率约63%;


2.通过L-亮氨酸和一氯代乙酰氯合成氯乙酰基-L-亮氨酸,收率约79%;


合成路线仅供参考
回复