你好,欢迎来到中华试剂网 购试剂 买耗材! [请登录][注册有惊喜]

货号快速下单 | 签到送积分   | 会员中心 | 客服热线:400-021-2765

2,6-二甲基-2,4,6-辛三烯的合成路线有哪些?

提问时间:2021/4/22 10:11:48
2,6-二甲基-2,4,6-辛三烯有什么方法可以合成?

1条回复:

匿名
2021/4/22 10:11:48
基本信息:
中文名称 2,6-二甲基-2,4,6-辛三烯
中文别名 Allo-罗勒烯;别罗勒烯;
英文名称 2,6-Dimethyl-2,4,6-octatriene
英文别名 2,6-DIMETHYL-2,4,6-OCTATRIENE;
CAS号 673-84-7

合成路线:
1.通过(Z)-3,7-二甲基-1,3,6-十八烷三烯合成2,6-二甲基-2,4,6-辛三烯


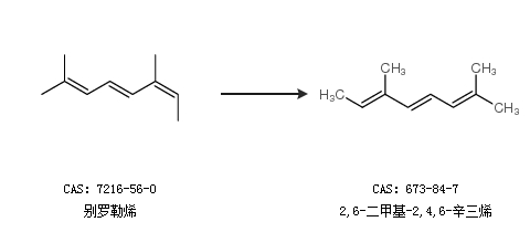
2.通过别罗勒烯合成2,6-二甲基-2,4,6-辛三烯


合成路线仅供参考
回复