你好,欢迎来到中华试剂网 购试剂 买耗材! [请登录][注册有惊喜]

货号快速下单 | 签到送积分   | 会员中心 | 客服热线:400-021-2765

3-氟-5-碘苯胺的合成路线有哪些?

提问时间:2021/4/22 10:11:47
3-氟-5-碘苯胺有什么方法可以合成?

1条回复:

匿名
2021/4/22 10:11:47
基本信息:
中文名称 3-氟-5-碘苯胺
中文别名 3-氟-5-碘代苯胺;
英文名称 3-Fluoro-5-iodoaniline
英文别名 3-FLUORO-5-IODOANILINE;
CAS号 660-49-1

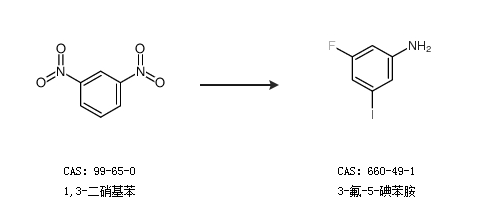
合成路线:
1.通过1-氟-3-碘-5-硝基苯合成3-氟-5-碘苯胺,收率约92%;


2.通过1,3-二硝基苯合成3-氟-5-碘苯胺


合成路线仅供参考
回复