你好,欢迎来到中华试剂网 购试剂 买耗材! [请登录][注册有惊喜]

货号快速下单 | 签到送积分   | 会员中心 | 客服热线:400-021-2765

3-吡啶乙腈的合成路线有哪些?

提问时间:2021/4/22 10:11:47
3-吡啶乙腈有什么方法可以合成?

1条回复:

匿名
2021/4/22 10:11:47
基本信息:
中文名称 3-吡啶乙腈
中文别名 3-(氰甲基)吡啶;3-吡啶基乙腈;吡啶-3-乙腈;3-乙腈吡啶;2-(吡啶-3-基)乙氰;
英文名称 3-(Cyanomethyl)Pyridine
英文别名 2-pyridin-3-ylacetonitrile;
CAS号 6443-85-2

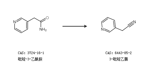
合成路线:
1.通过吡啶-3-乙酰胺合成3-吡啶乙腈


2.通过3-碘吡啶合成3-吡啶乙腈


合成路线仅供参考
回复