你好,欢迎来到中华试剂网 购试剂 买耗材! [请登录][注册有惊喜]

货号快速下单 | 签到送积分   | 会员中心 | 客服热线:400-021-2765

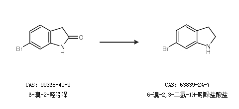
6-溴-2,3-二氢-1H-吲哚盐酸盐的合成路线有哪些?

提问时间:2021/4/22 10:11:47
6-溴-2,3-二氢-1H-吲哚盐酸盐有什么方法可以合成?

1条回复:

匿名
2021/4/22 10:11:47
基本信息:
中文名称 6-溴-2,3-二氢-1H-吲哚盐酸盐
中文别名 6-溴吲哚啉;6-溴二氢吲哚;
英文名称 6-Bromoindoline
英文别名 6-bromo-2,3-dihydro-1H-indole;
CAS号 63839-24-7

合成路线:
1.通过6-溴-2-羟吲哚合成6-溴-2,3-二氢-1H-吲哚盐酸盐


2.通过6-溴吲哚合成6-溴-2,3-二氢-1H-吲哚盐酸盐


合成路线仅供参考
回复