基本信息:
中文名称 苯妥英钠
中文别名 大伦丁;5,5-二苯乙内酰脲钠;5,5-二苯基乙内酰脲钠盐;二苯乙内酰脲钠;5,5-二苯基-2,4-咪唑烷二酮钠盐;地伦丁;
英文名称 Phenytoin sodium
英文别名 epinat;5,5-diphenylhydantoin sodium;tacosal;di-len;eptoin;alepsin;5,5-diphenylimidazolidine-2,4-dione sodium salt;solantyl;enkefal;ditoin;dihydan;phenytoin sodium salt;epelin;5,5-diphenyl-hydantoine;dilantin sodium;
CAS号 630-93-3
合成路线:
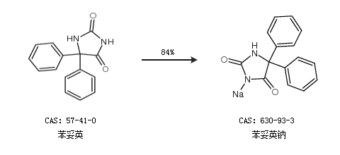
1.通过苯妥英合成苯妥英钠,收率约84%;

合成路线仅供参考