你好,欢迎来到中华试剂网 购试剂 买耗材! [请登录][注册有惊喜]

货号快速下单 | 签到送积分   | 会员中心 | 客服热线:400-021-2765

4-环己酮羧酸甲酯的合成路线有哪些?

提问时间:2021/4/22 10:11:47
4-环己酮羧酸甲酯有什么方法可以合成?

1条回复:

匿名
2021/4/22 10:11:47
基本信息:
中文名称 4-环己酮羧酸甲酯
中文别名 甲基 4-氧代环己烷甲酸酯;4-环己烷羧酸甲酯;
英文名称 Methyl 4-oxocyclohexanecarboxylate
英文别名 methyl 4-oxocyclohexane-1-carboxylate;
CAS号 6297-22-9

合成路线:
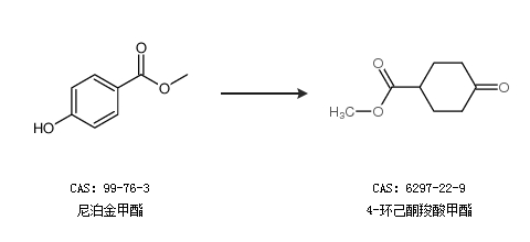
1.通过尼泊金甲酯合成4-环己酮羧酸甲酯


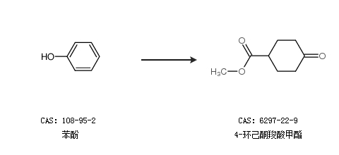
2.通过苯酚合成4-环己酮羧酸甲酯


合成路线仅供参考
回复