你好,欢迎来到中华试剂网 购试剂 买耗材! [请登录][注册有惊喜]

货号快速下单 | 签到送积分   | 会员中心 | 客服热线:400-021-2765

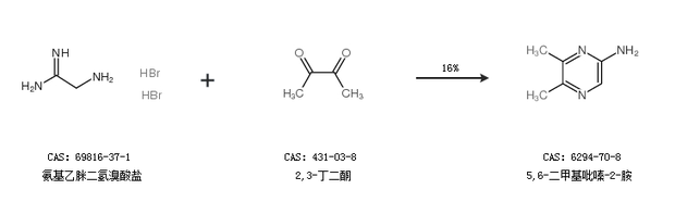
5,6-二甲基吡嗪-2-胺的合成路线有哪些?

提问时间:2021/4/22 10:11:47
5,6-二甲基吡嗪-2-胺有什么方法可以合成?

1条回复:

匿名
2021/4/22 10:11:47
基本信息:
中文名称 5,6-二甲基吡嗪-2-胺
英文名称 5,6-Dimethylpyrazin-2-amine
英文别名 5,6-dimethylpyrazin-2-amine;
CAS号 6294-70-8

合成路线:
1.通过氨基乙脒二氢溴酸盐和2,3-丁二酮合成5,6-二甲基吡嗪-2-胺,收率约16%;


合成路线仅供参考
回复