你好,欢迎来到中华试剂网 购试剂 买耗材! [请登录][注册有惊喜]

货号快速下单 | 签到送积分   | 会员中心 | 客服热线:400-021-2765

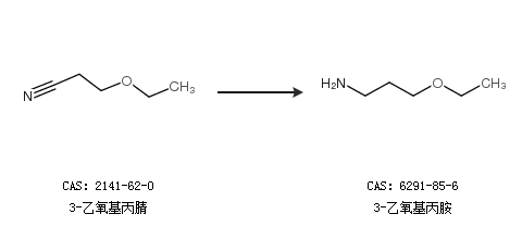
3-乙氧基丙胺的合成路线有哪些?

提问时间:2021/4/22 10:11:47
3-乙氧基丙胺有什么方法可以合成?

1条回复:

匿名
2021/4/22 10:11:47
基本信息:
中文名称 3-乙氧基丙胺
中文别名 3-乙氧基丙基胺;3-乙氧丙胺;3-乙氧基-1-丙胺;γ-乙氧基丙胺;
英文名称 3-Ethoxypropylamine
英文别名 3-ethoxypropan-1-amine;
CAS号 6291-85-6

合成路线:
1.通过3-乙氧基丙腈合成3-乙氧基丙胺


2.通过乙醇和1,11-二氰基-3,6,9-氧杂-十一烷合成3-乙氧基丙胺


合成路线仅供参考
回复