基本信息:
中文名称 2,3-二溴-3-苯基丙酸
中文别名 α,β-二溴氢桂皮酸;2,3-二溴-3-苯丙酸;α,β-二溴氢化桂皮酸;Alpha,β-二溴苯基丙醛酸;
英文名称 2,3-DIBROMO-3-PHENYLPROPIONIC ACID
英文别名 a,?Dibromohydrocinnamic acid;2,3-DIBROMOHYDROCINNAMIC ACID;CINNAMIC ACID DIBROMIDE;2,3-dibromo-3-phenyl-propionic acid;opt.-inakt. 3-Dibrom-3-phenyl-propionsaeure;A B-DIBROMOHYDROCINNAMIC ACID;
CAS号 6286-30-2
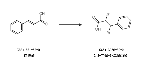
合成路线:
1.通过反式肉桂酸合成2,3-二溴-3-苯基丙酸,收率约99%;

2.通过肉桂酸合成2,3-二溴-3-苯基丙酸

合成路线仅供参考