基本信息:
中文名称 (S)-1-Boc-3-氨基哌啶
中文别名 S-1-N-Boc-3氨基哌啶;(S)-(+)-1-Boc-3-氨基哌啶;(S)-N-Boc-3-氨基哌啶;(S)-3-氨基-1-叔丁氧羰基哌啶;叔丁基3-氨基-1-哌啶羧酸脂;(S)-1-叔丁氧羰基-3-氨基哌啶;(S)-3-氨基-N-叔丁氧羰基哌啶;(S)-1-叔丁氧羰基-3-氨基哌啶;(S)-(+)-3-氨基-1-叔丁氧羰基哌啶;(S)-3-氨基-1-Boc-哌啶;
英文名称 (S)-3-Amino-1-N-Boc-piperidine
英文别名 tert-butyl (3S)-3-aminopiperidine-1-carboxylate;
CAS号 625471-18-3
合成路线:
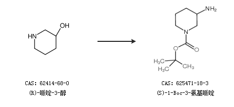
1.通过(R)-哌啶-3-醇合成(S)-1-Boc-3-氨基哌啶

2.通过N-苄基-L-脯氨醇合成(S)-1-Boc-3-氨基哌啶

合成路线仅供参考