基本信息:
中文名称 4,4’-(1,4-丁二氧基)二苯胺
中文别名 4,4-(1,4-丁烷二基)二氧基二苯胺;
英文名称 4-[4-(4-aminophenoxy)butoxy]aniline
英文别名 Diaminodiphenoxybutane;4,4''-butanediyldioxy-di-aniline;
CAS号 6245-50-7
合成路线:
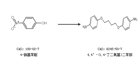
1.通过对硝基酚钠合成4,4’-(1,4-丁二氧基)二苯胺

2.通过4-硝基苯酚合成4,4’-(1,4-丁二氧基)二苯胺

合成路线仅供参考