你好,欢迎来到中华试剂网 购试剂 买耗材! [请登录][注册有惊喜]

货号快速下单 | 签到送积分   | 会员中心 | 客服热线:400-021-2765

3-硝基苯乙腈的合成路线有哪些?

提问时间:2021/4/22 10:11:47
3-硝基苯乙腈有什么方法可以合成?

1条回复:

匿名
2021/4/22 10:11:47
基本信息:
中文名称 3-硝基苯乙腈
中文别名 间硝基苯乙腈;3-硝基苯基乙腈;
英文名称 3-Nitrophenylacetonitrile
英文别名 2-(3-nitrophenyl)acetonitrile;
CAS号 621-50-1

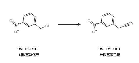
合成路线:
1.通过间硝基氯化苄合成3-硝基苯乙腈,收率约63%;


2.通过间硝基氯化苄合成3-硝基苯乙腈


合成路线仅供参考
回复