基本信息:
中文名称 对氨基马尿酸
中文别名 N-(对氨基苯甲酰基)氨基乙酸;4-氨基马尿酸(PAH);4-氨基马尿酸;4-氨基马尿酸;對胺馬尿酸;对氨基苯甲酰甘氨酸;对氨基苯甲酰基氨基乙酸;4-氨基苯甲酰基甘氨酸;4-氨基马尿酸(PAH);N-(4-氨基苯甲酰)甘氨酸;N-(4-氨基苯甲酰基)甘氨酸;
英文名称 p-aminohippuric acid
英文别名 ;para-amino hippuric acid;4-AMINOHIPPURIC ACID;PAH;paha;N-glycine;P-AMINOHIPPURIC ACID;Aminohippuric;p-aminobenzoic acid carboxymethylamide;4-aminobenzoylglycine;[3H]-p-Aminohippuric acid;p-amino-hippuricaci;pah(aminoacid);N-(4-aminobenzoyl)glycine;
CAS号 61-78-9
合成路线:
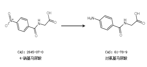
1.通过4-硝基马尿酸合成对氨基马尿酸

2.通过氯化对硝基苯甲酰合成对氨基马尿酸

合成路线仅供参考