基本信息:
中文名称 (+)-(18-冠醚-6)-2,3,11,12-四甲酸
中文别名 (2R,3R,11R,12R)-1,4,7,10,13,16-六氧环十八烷-2,3,11,12-四羧酸;(+)-(18-冠-6)-2,3,11,12-四羧酸;
英文名称 (+)-(18-CROWN-6)-2,3,11,12-TETRACARBOXYLIC ACID
英文别名 (2R,3R,11R,12R)-(+)-18-crown-6-2,3,11,12-tetracarbonic acid;(+)-(CROWN-6)-2,3,11,12-TETRACARBOXYLIC ACID;2R,3R,11R,12R-1,4,7,10,13,16-hexaoxacyclooctadecan-2,3,11,12-tetracarboxylic acid;Bis(L-tartaric Acid) 18-Crown-6;(+)-(18-Crown-6)-2,3,11,12-tetracarboxylic acid,(2R,3R,11R,12R)-1,4,7,10,13,16-Hexaoxacyclooctadecane-2,3,11,12-tetracarboxylic acid;(+)-18-Crown-6 tetracarboxylic Acid;(2R,3R,11R,12R)-1,4,7,10,13,16-HEXAOXACYCLOOCTADECANE-2,3,11,12-TETRACARBOXYLIC ACID;(18-crown-6)-2,3,11,12-tetracarboxylic acid;
CAS号 61696-54-6
合成路线:
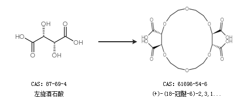
1.通过左旋酒石酸合成(+)-(18-冠醚-6)-2,3,11,12-四甲酸

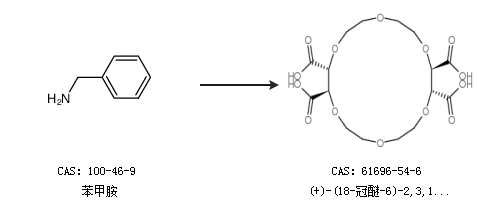
2.通过苯甲胺合成(+)-(18-冠醚-6)-2,3,11,12-四甲酸

合成路线仅供参考