基本信息:
中文名称 D-(+)-松三糖水合物
中文别名 D-(+)-松三糖;
英文名称 melezitose
英文别名 (2R,3R,4S,5S,6R)-2-[(2S,3S,4R,5R)-4-hydroxy-2,5-bis(hydroxymethyl)-2-[(2R,3R,4S,5S,6R)-3,4,5-trihydroxy-6-(hydroxymethyl)oxan-2-yl]oxyoxolan-3-yl]oxy-6-(hydroxymethyl)oxane-3,4,5-triol;Melicitose;Melizitose;Melezitose;
CAS号 597-12-6
合成路线:
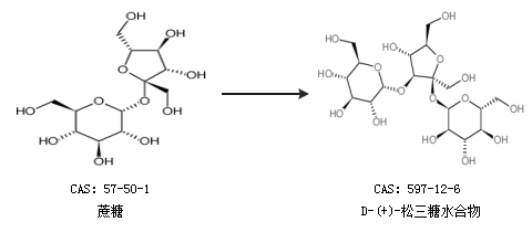
1.通过蔗糖合成D-(+)-松三糖水合物

合成路线仅供参考