基本信息:
中文名称 4-氯噻吩-2-甲酸
中文别名 4-氯-2-噻吩羧酸;
英文名称 4-chlorothiophene-2-carboxylic acid
英文别名 2-Carboxy-4-chlorothiophene;4-Chlor-thiophen-2-carbonsaeure;4-chloro-thiophene-2-carboxylic acid;4-Chloro-2-thiophenecarboxylic acid;
CAS号 59614-95-8
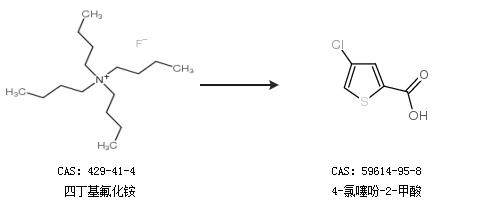
合成路线:
1.通过4-氯-2-噻吩甲醛合成4-氯噻吩-2-甲酸,收率约67%;

2.通过四丁基氟化铵合成4-氯噻吩-2-甲酸

合成路线仅供参考