基本信息:
中文名称 5-溴-3-呋喃羧酸
中文别名 5-溴-3-呋喃甲酸;5-溴-3-呋喃甲酸;2-溴呋喃-4-甲酸;
英文名称 5-bromofuran-3-carboxylic acid
英文别名 5-Bromo-3-furancarboxylicAcid;5-bromo-furan-3-carboxylic acid;2-BROMO-4-CARBOXYFURAN;5-Brom-furan-3-carbonsaeure;5-bromo-3-furoic acid;2-BROMOFURAN-4-CARBOXYLIC ACID;3-Furancarboxylic acid,5-bromo;
CAS号 58832-36-3
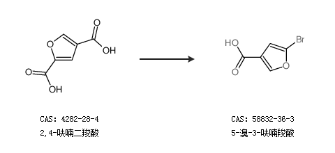
合成路线:
1.通过3-糠酸合成5-溴-3-呋喃羧酸,收率约69%;

2.通过2,4-呋喃二羧酸合成5-溴-3-呋喃羧酸

合成路线仅供参考