基本信息:
中文名称 2-壬基苯并咪唑
英文名称 2-nonyl-1H-benzimidazole
英文别名 2-Nonyl-1H-benzimidazol;2-nonyl-1H-benzoimidazole;2-nonyl-1H-1,3-benzodiazole;2-Nonyl benzimidazole;
CAS号 5851-50-3
合成路线:
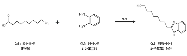
1.通过正癸酸和1,2-苯二胺合成2-壬基苯并咪唑,收率约90%;

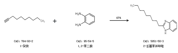
2.通过1-癸炔和1,2-苯二胺合成2-壬基苯并咪唑,收率约67%;

合成路线仅供参考