你好,欢迎来到中华试剂网 购试剂 买耗材! [请登录][注册有惊喜]

货号快速下单 | 签到送积分   | 会员中心 | 客服热线:400-021-2765

2-庚基苯并咪唑的合成路线有哪些?

提问时间:2021/4/22 10:11:45
2-庚基苯并咪唑有什么方法可以合成?

1条回复:

匿名
2021/4/22 10:11:45
基本信息:
中文名称 2-庚基苯并咪唑
英文名称 2-HEPTYLBENZIMIDAZOLE
英文别名 2-heptyl-1H-benzimidazole;
CAS号 5851-49-0

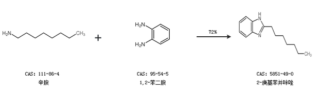
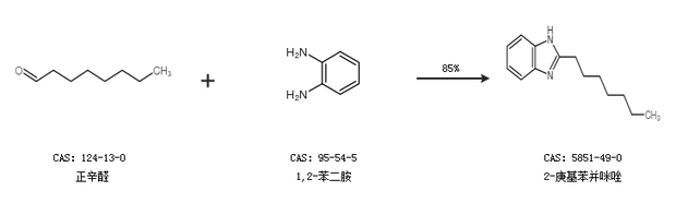
合成路线:
1.通过正辛醛和1,2-苯二胺合成2-庚基苯并咪唑,收率约85%;


2.通过辛胺和1,2-苯二胺合成2-庚基苯并咪唑,收率约72%;


合成路线仅供参考
回复