基本信息:
中文名称 DL-2-氨基-1-环己醇
中文别名 DL-己氨醇;
英文名称 DL-2-Amino-1-hexanol
英文别名 DL-Norleucinol;oxa-3-heptylamine;monobutylethanolamine;2-amino-1-hexanol;DL-a-Aminoazelaic acid;2-Aminononane-1,9-dioic acid;DL-2-amino-1,9-nonanedioic acid;Nonanedioic acid,2-amino;2-amino-hexan-1-ol;
CAS号 5665-74-7
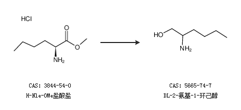
合成路线:
1.通过DL-正亮氨酸合成DL-2-氨基-1-环己醇

2.通过H-Nle-OMe盐酸盐合成DL-2-氨基-1-环己醇

合成路线仅供参考