你好,欢迎来到中华试剂网 购试剂 买耗材! [请登录][注册有惊喜]

货号快速下单 | 签到送积分   | 会员中心 | 客服热线:400-021-2765

2-溴甲基喹啉的合成路线有哪些?

提问时间:2021/4/22 10:11:45
2-溴甲基喹啉有什么方法可以合成?

1条回复:

匿名
2021/4/22 10:11:45
基本信息:
中文名称 2-溴甲基喹啉
英文名称 2-(Bromomethyl)quinoline
英文别名 2-Bromomethylquinoline;
CAS号 5632-15-5

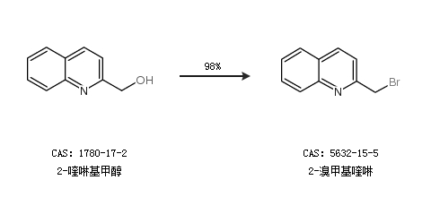
合成路线:
1.通过2-喹啉基甲醇合成2-溴甲基喹啉,收率约98%;


2.通过2-甲基喹啉合成2-溴甲基喹啉,收率约54%;


合成路线仅供参考
回复