基本信息:
中文名称 3-氨基-6-喹唑啉-4(3H)-酮
英文名称 3-amino-6-chloroquinazolin-4-one
英文别名 6-Chlor-3-amino-4-chinazolon;3-Amino-6-chlor-4-oxo-chinazolin;3-amino-6-chloro-3H-quinazolin-4-one;
CAS号 5584-16-7
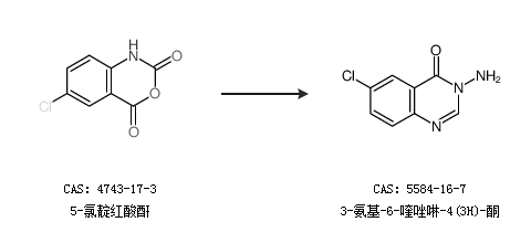
合成路线:
1.通过5-氯靛红酸酐合成3-氨基-6-喹唑啉-4(3H)-酮

2.通过2-氨基-5-氯苯甲酰肼和原甲酸三乙酯合成3-氨基-6-喹唑啉-4(3H)-酮,收率约63%;

合成路线仅供参考