基本信息:
中文名称 无水醋酸锌
中文别名 醋酸锌;乙酸锌;
英文名称 zinc acetate
英文别名 zinc,diacetate;Acetic acid,zinc(II) salt;ZINC ACETATE;Zinc acetate anhydrous;Galzin;Commercial zine acetate;Zn(CH3COO)2;Acetic acid,zinc salt;Dicarbomethoxyzinc;Zinc di(acetate);Zinc(II) acetate;
CAS号 557-34-6
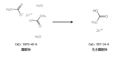
合成路线:
1.通过二乙基锌合成无水醋酸锌,收率约96%;

2.通过醋酸锌合成无水醋酸锌

合成路线仅供参考