基本信息:
中文名称 5-氨基-6-氯异吲哚啉-1,3-二酮
中文别名 5-氨基-6-氯-1H-异吲哚-1,3(2H)-二酮;
英文名称 5-amino-6-chloroisoindole-1,3-dione
英文别名 5-AMINO-6-CHLOROISOINDOLINE-1,3-DIONE;5-amino-6-chloro-isoindole-1,3-dione;4-amino-5-chlorophthalimide;HMS546F11;5-amino-6-chloro-2,3-dihydro-1H-isoindole-1,3-ndione;4-chloro-5-aminophthalimide;
CAS号 5566-48-3
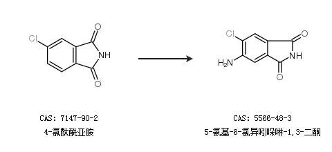
合成路线:
1.通过4-氯-5-硝基邻苯二甲酰亚胺合成5-氨基-6-氯异吲哚啉-1,3-二酮,收率约78%;

2.通过4-氯酞酰亚胺合成5-氨基-6-氯异吲哚啉-1,3-二酮

合成路线仅供参考