你好,欢迎来到中华试剂网 购试剂 买耗材! [请登录][注册有惊喜]

货号快速下单 | 签到送积分   | 会员中心 | 客服热线:400-021-2765

4,4’,4"-三氨基三苯甲烷的合成路线有哪些?

提问时间:2021/4/22 10:11:44
4,4’,4"-三氨基三苯甲烷有什么方法可以合成?

1条回复:

匿名
2021/4/22 10:11:44
基本信息:
中文名称 4,4’,4"-三氨基三苯甲烷
中文别名 4,4`,4```-三氨基三苯甲烷;三(4-苯胺基)甲烷;副品红隐色基;
英文名称 4,4'',4''''-Methanetriyltrianiline
英文别名 4-[bis(4-aminophenyl)methyl]aniline;
CAS号 548-61-8

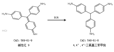
合成路线:
1.通过副品红碱合成4,4’,4"-三氨基三苯甲烷,收率约77%;


2.通过碱性红 9合成4,4’,4"-三氨基三苯甲烷,收率约91%;


合成路线仅供参考
回复