基本信息:
中文名称 N-Boc-D-脯氨酰胺
中文别名 Boc-D-脯氨酸酰胺;
英文名称 tert-butyl 2-(aminocarbonyl)pyrrolidine-1-carboxylate
英文别名 tert-butyl 2-carbamoylpyrrolidine-1-carboxylate;Boc-DL-prolinamide;2-carbamoyl-pyrrolidine-1-carboxylic acid tert-butyl ester;N-Boc-D-Prolinamide;Boc-prolinamide;
CAS号 54503-10-5
合成路线:
1.通过DL-脯氨酰胺盐酸盐合成N-Boc-D-脯氨酰胺,收率约60%;

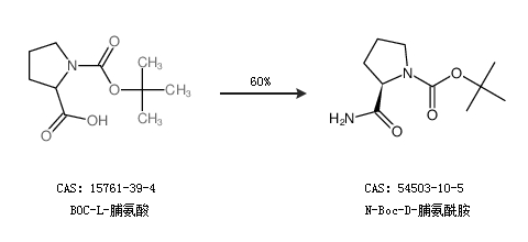
2.通过BOC-L-脯氨酸合成N-Boc-D-脯氨酰胺,收率约60%;

合成路线仅供参考